Platby

Výše plateb stanovena od 1. 9. 2025

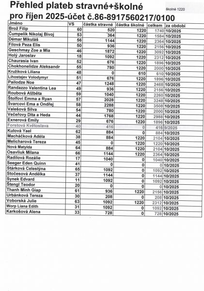
Úplata za předškolní vzdělávání (školné)

Je stanovena ředitelkou školy pro školní rok 2025 - 2026 na dobu od 1. září 2025 do 31. srpna 2026 ve výši Kč/1.220,- Kč měsíčně. Úhrada školného se týká všech dětí přijatých k předškolnímu vzdělávání, tedy i dětí, které nastupují v průběhu školního roku až do doby jejich skutečného nástupu.

Vzdělávání se poskytuje bezúplatně pro děti, které k 31.8. 2025 dovršily 5 let. Rovněž tak je vzdělávání bezúplatné pro děti s odkladem školní docházky.

Od školného mohou být osvobozeny i děti, jejichž rodiče pobírají Dávky státní sociální podpory (příspěvek na bydlení, dávky v hmotné nouzi, přídavek na dítě). Rodiče musí škole doložit na počátku školního roku 2025/2026 "Rozhodnutí o přiznání dávky"

 

Úplata za stravné

Stravné je celodenní, děti 3 – 6 let 52,-Kč, děti s OŠD 56,-Kč

Číslo účtu : 86-8917560217/0100 

Obě platby je možné spojit. Na začátku školního roku rodiče obdrží všechny potřebné údaje k platbě - je možné  si zřídit trvalý příkaz do června následujícího roku. Platby uhradit vždy do 20. dne daného měsíce.

 

Další platby jsou vždy odsouhlaseny na schůzce rodičů v září.

  • Kulturní fond rodičů číslo účtu: 123-841400287/0100